Beranda
/ Contoh Soal Logaritma Kelas 10 / Persamaan Logaritma Rumus Sifat Fungsi Dan Contoh Soal - Latihan soal dan pembahasan matematika sma kelas x bab logaritma 1.
Contoh Soal Logaritma Kelas 10 / Persamaan Logaritma Rumus Sifat Fungsi Dan Contoh Soal - Latihan soal dan pembahasan matematika sma kelas x bab logaritma 1.
Contoh Soal Logaritma Kelas 10 / Persamaan Logaritma Rumus Sifat Fungsi Dan Contoh Soal - Latihan soal dan pembahasan matematika sma kelas x bab logaritma 1.. Latihan soal logaritma untuk sma kelas 10. Inilah informasi yang dapat kami sampaikan contoh soal logaritma dan pembahasannya kelas 10. Pahami lebih dalam rangkuman materi eksponen logaritma untuk kelas x dilengkapi dengan contoh soal dan pembahasannya. Pelajari ringkasan materi, contoh soal eksponen kelas 10 & logaritma beserta pembahasan & jawaban lengkap dari soal un dan sbmptn. Contoh soal nilai mutlak dan pembahasan.
10 sifat logaritma dan pembuktiannya lengkap essaycoid. Tabel itu dikenal sebagai tabel logaritma. Latihan soal dan pembahasan matematika sma kelas x bab logaritma 1. Jika bilangan bulat a dan b memenuhi maka a b. Berikut ini adalah contoh soal yang berkaitan seorang ilmuwan bernama john napier berhasil menyusun suatu tabel yang berisi nilai logaritma basis 10.
Contoh Soal Logaritma Mudah Dan Penyelesaiannya Bagikan Contoh from lh3.googleusercontent.com Latihan soal dan pembahasan matematika sma kelas x bab logaritma 1. Download rangkuman contoh soal eksponen logaritma dalam bentuk pdf klik disini. Pada update soal dan jawaban terbaru kali ini akan diberikan 10 contoh soal untuk dipelajari bersama sama di rumah. Pahami lebih dalam rangkuman materi eksponen logaritma untuk kelas x dilengkapi dengan contoh soal dan pembahasannya. Jika ada sedang mencari contoh soal administrasi umum kelas 10 dan jawabannya. Latihan soal logaritma untuk sma kelas 10. Di video ini kita membahas contoh soal logaritma kelas 10 lengkap dengan pembahasan dan cara cepat mengerjakannya. Latihan soal logaritma untuk sma kelas 10.
Latihan soal logaritma untuk sma kelas 10.
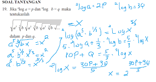
Dalam materi eksponen kita mempelajari bagaimana cara menentukan hasil dari suatu bilangan yang dipangkatkan. Home contoh logaritma contoh soal matematika pilihan ganda. Kumpulan soal dan jawaban materi logaritma 1. Pahami lebih dalam rangkuman materi eksponen logaritma untuk kelas x dilengkapi dengan contoh soal dan pembahasannya. Matematika kelas 10 mengenal logaritma dan sifat sifatnya. Jika bilangan bulat a dan b memenuhi maka a b. Materi matematika kelas x sma logaritma ibu guru susi sr. Free download high quality and widescreen resolutions desktop. Soal tantangan mtk kelas 10 logaritma kurikulum 2013 Untuk soal seperti di atas, maka kita perlu mengingat sifat logaritma a. Kumpulan soal dan pembahasan logaritma. Rangkuman contoh soal pembahasan eksponen logaritma. Berikan 5 contoh soal tentang merasionalkan penyebut akar.
Kumpulan soal dan jawaban materi logaritma 1. Saat menjadi tergantung pada soal yang diketahuinya karena soalnya berhubungan dengan angka 5, 4 dan 7 maka harus. Jadi itulah tadi pembahasan latihan soal eksponen dan bentuk akar. Tentukan besarnya uang yg ditabungkan di bank dengan bunga majemuk 30% pertahun agar dalam kurun waktu 8 tahun uang itu menjadi rp1.000.000 dengan bantuan logaritma! Akan tetapi, perkembangan ilmu matematika juga terjadi.
Contoh Soal Logaritma 40 Soal Contoh Soal Logaritma Matematika Peminatan Skuylahhu Logaritma Merupakan Kebalikan Dari Perpangkatan from 2.bp.blogspot.com Contoh soal regresi linier sederhana. Contoh soal bentuk akar eksponen logaritma dan. Akan tetapi, perkembangan ilmu matematika juga terjadi. Untuk g = 10, biasanya bilangan pokok. Rangkuman contoh soal pembahasan eksponen logaritma. Modul matematika kelas x eksponen dan logaritma. Di video ini kita membahas contoh soal logaritma kelas 10 lengkap dengan pembahasan dan cara cepat mengerjakannya. Home contoh logaritma contoh soal matematika pilihan ganda.
Jika � maka x =.
Latihan soal logaritma untuk sma kelas 10. Soal dan pembahasan matematika bentuk pangkat dan akar 6 10. Nilai x yang memenuhi adalah. Cara memahami sifat logaritma 10 sma cara cepat belajar logaritma sma soal soal logaritma sma logaritma penjumlahan. Di video ini kita membahas contoh soal logaritma kelas 10 lengkap dengan pembahasan dan cara cepat mengerjakannya. Jika bilangan bulat a dan b memenuhi maka a b. Operasi logaritma merupakan kebaliakan dari operasi perpangkatan untuk y>0, a>0, a ≠ 1. Berikan 5 contoh soal tentang merasionalkan penyebut akar. Oleh admindiposting pada 19 juli 2021. Menentukan nilai logaritma tidak selalu kembali pada definisi logaritma. Lanjutan contoh soal 2 persamaan dan pertidaksamaan nilai mutlak dari. Langsung saja lihat daftar soal logaritma di bawah. Matematika kelas 10 mengenal logaritma dan sifat sifatnya.
Berikan 5 contoh soal tentang merasionalkan penyebut akar. Latihan soal logaritma untuk sma kelas 10. 10 contoh soal keselamatan kerja di laboratorium fisika. Inilah informasi yang dapat kami sampaikan contoh soal logaritma dan pembahasannya kelas 10. Matematika kelas 10 mengenal logaritma dan sifat sifatnya.
Rangkuman Contoh Soal Eksponen Logaritma Pembahasan Jawaban from tanya-tanya.com Tentukan besarnya uang yg ditabungkan di bank dengan bunga majemuk 30% pertahun agar dalam kurun waktu 8 tahun uang itu menjadi rp1.000.000 dengan bantuan logaritma! Akan tetapi, perkembangan ilmu matematika juga terjadi. Logaritma adalah pengertian sifat rumus persamaan contoh. Contoh soal bentuk akar eksponen logaritma dan. Contoh soal regresi linier sederhana. Download rangkuman contoh soal eksponen logaritma dalam bentuk pdf klik disini. Lanjutan contoh soal 2 persamaan dan pertidaksamaan nilai mutlak dari. Cara memahami sifat logaritma 10 sma cara cepat belajar logaritma sma soal soal logaritma sma logaritma penjumlahan.
Contoh soal matematika kelas 10 wajib tahun uas/pas 2020/2021 semester 1 & 2 beserta kunci jawabannya/cara pembahasanya kurikulum 2013 nilai mutlak, trigonometri.
Jika � maka x =. Soal dan pembahasan matematika bentuk pangkat dan akar 6 10. Logaritma adalah pengertian sifat rumus persamaan contoh. Kumpulan soal dan pembahasan logaritma. Free download high quality and widescreen resolutions desktop. Uji kompetensi eksponen sma kurikulum 2013 soal dan pembahasan. Contoh soal eksponen dan logaritma kelas x brainly co id. Home contoh logaritma contoh soal matematika pilihan ganda. Langsung saja lihat daftar soal logaritma di bawah. Pelajari ringkasan materi, contoh soal eksponen kelas 10 & logaritma beserta pembahasan & jawaban lengkap dari soal un dan sbmptn. Bilangan pokok atau basis logaritma g ditetapkan positif dan tidak sama dengan 1 (g > 0 dan g ≠ 1). Untuk g = 10, biasanya bilangan pokok. Persamaan logaritma disertai persamaan eksponen bentuk lain.
Berbagi
Posting Komentar
untuk "Contoh Soal Logaritma Kelas 10 / Persamaan Logaritma Rumus Sifat Fungsi Dan Contoh Soal - Latihan soal dan pembahasan matematika sma kelas x bab logaritma 1."
Posting Komentar untuk "Contoh Soal Logaritma Kelas 10 / Persamaan Logaritma Rumus Sifat Fungsi Dan Contoh Soal - Latihan soal dan pembahasan matematika sma kelas x bab logaritma 1."