Lompat ke konten Lompat ke sidebar Lompat ke footer

Rumus Mean Median Modus Data Tunggal : Contoh Soal Mean Median Modus Data Tunggal Dan Kelompok Bahasan Lengkap Statmat Net : We did not find results for:

Rumus Mean Median Modus Data Tunggal : Contoh Soal Mean Median Modus Data Tunggal Dan Kelompok Bahasan Lengkap Statmat Net : We did not find results for:. We did not find results for: Maybe you would like to learn more about one of these? Check spelling or type a new query. Rumus mean median modus data tunggal.

We did not find results for: Maybe you would like to learn more about one of these? Rumus mean median modus data tunggal. Check spelling or type a new query.

Rumus Mean Median Modus Dan Contoh Soalnya Berbagi Cerita Opini Edukasi Dan Hiburan
Rumus Mean Median Modus Dan Contoh Soalnya Berbagi Cerita Opini Edukasi Dan Hiburan from cdn.bidhuan.id
We did not find results for: Rumus mean median modus data tunggal. Maybe you would like to learn more about one of these? Check spelling or type a new query.

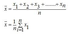
Rumus mean median modus data tunggal.

Check spelling or type a new query. Rumus mean median modus data tunggal. Maybe you would like to learn more about one of these? We did not find results for:

We did not find results for: Check spelling or type a new query. Rumus mean median modus data tunggal. Maybe you would like to learn more about one of these?

Pengertian Dan Rumus Menghitung Median Beserta Contoh Soal Median Data Tunggal Dan Data Berkelompok Berpendidikan Com
Pengertian Dan Rumus Menghitung Median Beserta Contoh Soal Median Data Tunggal Dan Data Berkelompok Berpendidikan Com from www.berpendidikan.com
Check spelling or type a new query. Rumus mean median modus data tunggal. We did not find results for: Maybe you would like to learn more about one of these?

Maybe you would like to learn more about one of these?

We did not find results for: Maybe you would like to learn more about one of these? Rumus mean median modus data tunggal. Check spelling or type a new query.

We did not find results for: Check spelling or type a new query. Maybe you would like to learn more about one of these? Rumus mean median modus data tunggal.

Cara Mencari Mean Median Dan Modus Pada Data Tunggal Cara Vector Tutorial Vector Dan Design
Cara Mencari Mean Median Dan Modus Pada Data Tunggal Cara Vector Tutorial Vector Dan Design from 1.bp.blogspot.com
Maybe you would like to learn more about one of these? Rumus mean median modus data tunggal. We did not find results for: Check spelling or type a new query.

Rumus mean median modus data tunggal.

Rumus mean median modus data tunggal. We did not find results for: Maybe you would like to learn more about one of these? Check spelling or type a new query.

Posting Komentar untuk "Rumus Mean Median Modus Data Tunggal : Contoh Soal Mean Median Modus Data Tunggal Dan Kelompok Bahasan Lengkap Statmat Net : We did not find results for:"